一般会計・特別会計・国債等に分類される財政等要因
図表1は財政等要因を説明するためのものです。日本国政府は日本銀行に預金をしています。これを政府預金といいます。私たちが所得税を納めたり企業が法人税を納めたりすると,私たちや企業の資金は減り,政府の資金は増えます。この決済は納税の窓口となった代理店金融機関の日銀当座預金を減らし,政府預金を増やして済ませます。
政府が私たちに年金を給付したり企業に補助金を出したりするとき,政府の資金は減り,私たちや企業の資金は増えます。この決済は政府預金を減らし,給付の窓口となった代理店金融機関の日銀当座預金を増やして済ませます。財政等要因とは,日銀当座預金の総額が増減するこのような政府の財政活動のことです。
図表1 財政等要因(1)

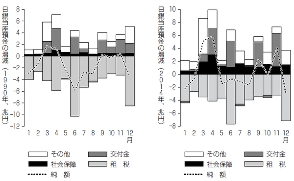
財政等要因は一般財政(一般会計),一般財政(特別会計),国債等からなります(2)。図表2は一般財政(一般会計)を要因分解したものです。プラスの値は国家公務員の人件費など一般会計から散布される資金や,地方交付税交付金など一般会計から特別会計を経由して散布される資金を表します。マイナスの値は税金の納付など一般会計に吸収される資金を表します。
所得税や法人税、社会保障などの一般会計
6月と12月に租税納付による日銀当座預金の減少が目立つのは,これらの月に3月決算企業が法人税を納めるためです(3)。4月,6月,9月,11月に交付金による日銀当座預金の増加が目立つのは,これらの月に普通交付税が交付されるためです(4)。ほかの月にみられる交付金は特別交付税や普通交付税の追加交付です。社会保障の給付によって日銀当座預金が増えるのは,年を通じて医療費や介護費が支出されるためです(5)。純額をみると,普通交付税の交付月と年度末に中央政府から資金が散布され,税収が多い夏と年末年始に中央政府へ資金が吸収される傾向にあることがわかります。
図表2 一般財政(一般会計)(6)

図表3は一般財政(一般会計)を構成する要素の暦年累計を表しています。1990年と2014年を比べると,税による歳入は減り,社会保障とその他による歳出は増えています。純額の暦年累計は1990年の-18兆円から2014年の+6兆円へ,24兆円増えています。
図表3 一般財政(一般会計,暦年累計)(7)

註
(1)中央政府と地方公共団体との取引は日銀当座預金の総額を変える。本文中の民間は地方公共団体を含む。日本銀行による国庫金の取り扱いについては会計法,予算決算及び会計令,日本銀行法,日本銀行,業務上の事務連絡,代理店等関連,日本銀行,国庫金・国債の窓口,日本銀行財政収支研究会(1997)の第3章と第4章,下鶴(2005)を参照。
(2) 中央政府の会計は原則一般会計で計理される。年金など特定の事業を行う場合や,地方交付税など特定の歳入を特定の歳出に充てる場合に特別会計で計理される。財政法13条,国民年金特別会計法,交付税及び地方譲与税配布金特別会計法を参照。特別会計に関する法律2条によると特別会計の設置数は13である。財務省,特別会計ガイドブックを参照。
(3)法人税法74条から77条を参照。我孫子(2006,p.20)によれば,収納日から政府預金計上日まで数日のラグがある。
(4)地方交付税法6条から16条を参照。総務省,地方行財政,地方財政制度,地方交付税も参照。
(5)我孫子(2006,p.22)によれば,社会保障は生活保護,社会福祉,社会保険,保健衛生対策,失業対策の各費用を含む。日本銀行財政収支研究会(1997,pp.148-153)によれば,国民健康保険費や老人福祉費は毎月概算払いされる。
(6)日本銀行,財政関連統計,財政資金収支,対民間収支からデータを取得し作成。財務省,財政資金対民間収支も参照。その他と純額は歳出と歳入の差額である。特別会計を経由して散布される交付税や社会保障が一般会計に計上されることについては我孫子(2006)を参照。
(7)日本銀行,財政関連統計,財政資金収支,対民間収支からデータを取得し作成。
参考文献
・我孫子善一郎『我が国の国庫制度―対民収支編―』ファイナンス,18-31,2006年。
・大内聡『我が国の国庫制度について―入門編―』ファイナンス,42-62,2005年。
・鎌田修『我が国の国庫制度―補足編―』ファイナンス,22-29,2006年。
・香西泰・伊藤修・有岡律子『バブル期の金融政策とその反省』金融研究,217-260,2000年。
・資産価格変動のメカニズムとその経済効果に関する研究会『資産価格変動のメカニズムとその経済効果』フィナンシャル・レビュー,30, 1-75,1993年。
・下鶴毅『我が国の国庫制度―出納計理編―』ファイナンス,22-39,2005年。
・高野寿也『我が国の国庫制度―応用編―』ファイナンス,11-16,2006年。
・高野寿也『国庫キャッシュマネジメント改革』ファイナンス,9-15,2007年。
・日本銀行『決済システムレポート2012-2013』2013年。
・日本銀行企画室『「マネタリーベースと日本銀行の取引」統計について』2000年。
・日本銀行企画室『日本銀行の政策・業務とバランスシート』2004年。
・日本銀行財政収支研究会『新版財政収支のみかた―わが国の国庫制度と財政資金の動き―』ときわ総合サービス,1997年。
・渡部晶『わが国の通貨制度(幣制)の運用状況について』ファイナンス,18-31,2012年。
・Keynes, John Maynard著,小泉明・長澤惟恭訳『貨幣論Ⅰ 貨幣の純粋理論』ケインズ全集第5巻,東洋経済新報社,2001年。
・Keynes, John Maynard著,長澤惟恭訳『貨幣論Ⅱ 貨幣の応用理論』ケインズ全集第6巻,東洋経済新報社,2001年。
