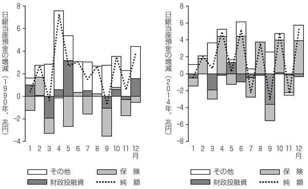
年金の給付月である偶数月には大きく増加
図表1は一般財政(特別会計)を要因分解したものです。プラスの値は年金の保険料納付を上回る給付や,財政投融資の回収を上回る運用によって特別会計から散布される資金の純額を表しています。マイナスの値は年金の給付を上回る保険料納付や,財政投融資の運用を上回る回収などによって特別会計へ吸収される資金の純額を表します。
保険が奇数月にマイナス,偶数月にプラスであるのは,偶数月に年金が給付されるためです。3月と9月に財政投融資のマイナスが目立つのは,これらの月に地方公共団体から元利払いを受けるためです。1990年4月にその他部門のプラスが目立つのは,この月に郵便貯金が大量償還されたためです(1)。純額をみると,偶数月に年金が給付されるために大きく増減する傾向にあることがわかります。
図表1 一般財政(特別会計)(2)

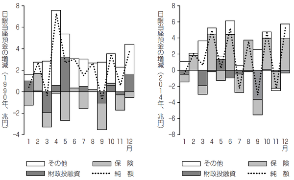
特別会計から日銀当座預金に入る暦年の累計額は縮小
下記の図表2は一般財政(特別会計)を構成する要素の暦年累計を表しています。1990年と2014年を比べると,財政投融資は運用超から回収超となり,年金など保険は納付超から給付超となり,その他部門は散布超の額が減っています。純額の暦年累計は1990年の+27兆円から2014年の+18兆円へ,9兆円減りました。
図表2 一般財政(特別会計,暦年累計)(3)

註
(1) 日本銀行,財政関連統計,財政資金収支,対民間収支によると,1990年4月の郵便局の項目は4兆6千億円の払い出しであった。
(2) 日本銀行,財政関連統計,財政資金収支,対民間収支からデータを取得し作成。財務省,財政資金対民間収支,財政融資資金法を参照。保険の項目は年金,労働保険,地震再保険,船員保険,農林保険,漁船再保険及び漁業共済保険,貿易再保険を含む。各項目は歳出と歳入の差額である。
(3) 日本銀行,財政関連統計,財政資金収支,対民間収支からデータを取得し作成。
参考文献
・我孫子善一郎『我が国の国庫制度―対民収支編―』ファイナンス,18-31,2006年。
・大内聡『我が国の国庫制度について―入門編―』ファイナンス,42-62,2005年。
・鎌田修『我が国の国庫制度―補足編―』ファイナンス,22-29,2006年。
・香西泰・伊藤修・有岡律子『バブル期の金融政策とその反省』金融研究,217-260,2000年。
・資産価格変動のメカニズムとその経済効果に関する研究会『資産価格変動のメカニズムとその経済効果』フィナンシャル・レビュー,30, 1-75,1993年。
・下鶴毅『我が国の国庫制度―出納計理編―』ファイナンス,22-39,2005年。
・高野寿也『我が国の国庫制度―応用編―』ファイナンス,11-16,2006年。
・高野寿也『国庫キャッシュマネジメント改革』ファイナンス,9-15,2007年。
・日本銀行『決済システムレポート2012-2013』2013年。
・日本銀行企画室『「マネタリーベースと日本銀行の取引」統計について』2000年。
・日本銀行企画室『日本銀行の政策・業務とバランスシート』2004年。
・日本銀行財政収支研究会『新版財政収支のみかた―わが国の国庫制度と財政資金の動き―』ときわ総合サービス,1997年。
・渡部晶『わが国の通貨制度(幣制)の運用状況について』ファイナンス,18-31,2012年。
・Keynes, John Maynard著,小泉明・長澤惟恭訳『貨幣論Ⅰ 貨幣の純粋理論』ケインズ全集第5巻,東洋経済新報社,2001年。
・Keynes, John Maynard著,長澤惟恭訳『貨幣論Ⅱ 貨幣の応用理論』ケインズ全集第6巻,東洋経済新報社,2001年。
