2006年以降に物納制度が厳格化
いまだに「相続税は物納するから大丈夫」と言われる方がいらっしゃいます。以前は、物納も認められていたので、その当時のイメージだと思うのですが・・・。今は、物納がほとんど認められなくなり、借金してでも相続税を納めなさいというようになっています。
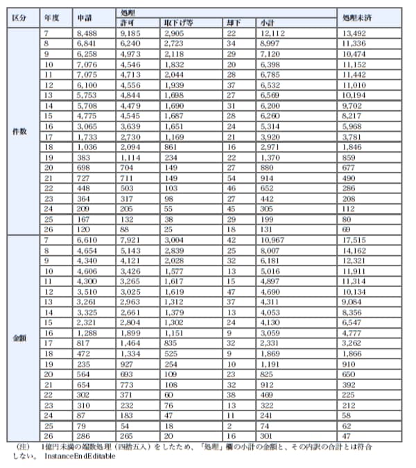
ちなみに、平成10年の物納申請件数は 7076件、許可は4546件でしたが、平成26年は物納申請件数120件、許可88件と激減しています。それは、2006年以降、物納制度が厳格化されたからです。
生活費以上の現金・預貯金を残しての「物納」は難しい
物納の条件の1つに、所有する現金・預貯金では支払いきれない場合という項目があります。しかし、以前は、家を新築する予定がある等、理由をつければ手元に現金・預貯金があっても、物納が認められていました。ところが、現在は、最低限の生活費以上の現金・預貯金を残しての物納が認められることは、とても難しくなっています。
また、分割して相続税を納める延納もありますが、市中金利より高い金利がつきますので、売却の目処が立っていない限り選択すべきでないかと思います。物納制度は、10か月以内に現金一括納付ができない場合のセーフティネットの役割を持っていましたが、厳格化でそれが期待できなくなった現在、長期的な計画・対策の実行が不可欠です。
【図表 物納の推移】

