日本以外の国は「インフレ」で経済成長している!?
前回の記事を読んでも、まだインフレがよくなくて、デフレのほうがましであると信じる人のために、もう一つの事実を紹介しましょう。
実は、世界で経済成長を続けている国はすべて緩やかなインフレ状態にあります。デフレを続けていたのは、経済が停滞していた日本だけなのです。
デフレ基調となっている先進国は日本だけ
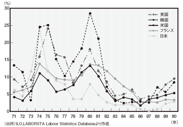
下記の図表1は、日本の経済成長が続いていた70~80年代のインフレ率の推移です。当時は世界的に経済成長が続いていましたから、デフレになるような国はまったくありませんでした。1973年と1979年のオイル・ショックの後だけは急激な物価の高騰が世界的に見られますが、それを除けばだいたい年率10%以下のインフレが続いています。
[図表1]各国の消費者物価指数の対前年上昇率の推移(1971~1990年)

さらに下記の図表2は、1991年から2004年までのインフレ率の変化です。先進国の経済成長にかげりが見えるとともに、インフレは緩やかなものになっていったことが分かります。
[図表2]各国の消費者物価指数の対前年上昇率の推移(1991~2004年)

特に日本は90年代後半から消費者物価指数がマイナス成長になり始め、すっかりデフレが定着したことが分かります。物価が前年よりも下がっている、つまりデフレになっている国は、日本しかありません。
ちなみに1997年に一時的に物価が上がっていますが、これはこの年に消費税が3%から5%に引き上げられたことによる影響であり、デフレ基調は変わっていません。
2004年以降は、アメリカ、ユーロ圏ともになかなか物価の上がらない傾向はありますが、それでも1~3%のインフレ率を堅持しています。日本だけがデフレを続けていたのです。

