突如出現した養子でも「縁組の意思」があれば問題なし
前回の続きです。
(3)子のない相続人に突如として養子が出現する場合
高齢となった未亡人に養子がいることが発覚した場合には、紛糾する場合があります。
たとえば、夫に先立たれ、子のない妻(Aとします)が妻の兄弟姉妹の子の1人である甥と養子縁組をしていたことが発覚しました。
この場合、養子である甥が第1順位の相続人となりますので、第3順位の相続人である兄弟姉妹たちには、相続権はありません。
ところで、Aの兄弟姉妹は、Aに子がないことから、当然に第3順位の相続人である自分たちが相続人になると考えていたところ、その甥の出現によって、甥が第1順位の子としての相続権を有し、自分たちにはまったく相続権がなくなってしまいました。
このような場合、第1順位の子の相続権を争うために、養子縁組の無効を主張して、相続権そのものを争う事例に発展する場合があります。
この場合、Aと甥との間に、真実養子縁組をする意思があれば、法的には問題ありません。このような場合、Aは遺言書を作成して、その中で、真実養子縁組であることを明示したり、また、甥との間の親子としての交流の事実を、文章、写真などで証拠として残しておき、将来、養子縁組の無効を主張されないような対応をしておくことも必要です。
なお、養子縁組の無効まで行かなくても、叔父叔母が甥に対してさまざまな要求(たとえば、自分たちはAの面倒を見たから、財産をよこすべきだというような、あまり法的根拠のない要求)が、甥にとって大きなストレスになることもあります。
↓
■子のない者が、養子縁組をしたことによる争族
⇒縁組意思があれば問題なし
親と妻子の養子縁組により兄弟の遺留分を減らすことも
(4)遺留分を減らすための養子縁組
①事案
相続人同士の仲が悪い場合に、1人の相続人が、被相続人である親に遺言を書かせたうえで、他の相続人の遺留分を減らすために、自分の妻や子を被相続人の養子とする場合があります。
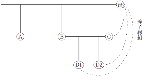
たとえば、被相続人である母に子A、子Bがいて、Bは母と同居しており、また、Bには妻C、子D1、D2がいます。AとBは仲が悪く、Bは母に対し、すべての財産を、B、D1に譲る旨の遺言を書いてもらい、Aの遺留分を減らすために、C、D1、D2とで養子縁組とした、というような場合です。Aが先妻の子、Bが後妻の子というような場合も、このようなことが起こり得ます。
[図表]

本来は、母と子2人(A、B)ですから、母が亡くなった場合のAの相続分は2分の1です。この場合、母がすべての財産をBに譲る旨の遺言を書いても、Aには相続分の半分、つまり4分の1の遺留分があります。
しかし、母がC、D1、D2と養子縁組をすると、子が5人になりますから、Aの相続人は5分の1、遺留分はその半分の10分の1になってしまいます。Bとしては、Aの遺留分を4分の1から10分の1に減らし、Aの取得する遺留分を減らすために、母とC、D1、D2との間で養子縁組をしてもらうのです。
このような場合、母が亡くなってから、Aは、母がすべての遺産をB、D1に譲ることとした遺言書の存在を知り、また、C、D1、D2が母の養子になっていることを知ります。つまりAは、本来は、兄弟2人なので、2分の1の相続権があると思っていたのに、ふたを開けてみると、実際には10分の1の遺留分しかないことを知るのです。



