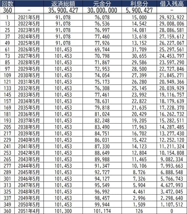
3000万円・変動金利の住宅ローンを30年で返済

※以下を条件とした概算 ・借入金額 3000万円 ・返済方式 元利均等 ・返済頻度 毎月 ・当初金利 0.6% ・それ以降の金利 1.5% ・返済期間 30年
※以下を条件とした概算
・借入金額 3000万円
・返済方式 元利均等
・返済頻度 毎月
・当初金利 0.6%
・それ以降の金利 1.5%
・返済期間 30年

 

 \3月20日(金)-22日(日)限定配信/
 調査官は重加算税をかけたがる 
相続税の「税務調査」の実態と対処法

 

カインドネスシリーズを展開するハウスリンクホームの「資料請求」詳細はこちらです
川柳コンテストの詳細はコチラです アパート経営オンラインはこちらです。 富裕層のためのセミナー情報、詳細はこちらです 富裕層のための会員組織「カメハメハ倶楽部」の詳細はこちらです オリックス銀行が展開する不動産投資情報サイト「manabu不動産投資」はこちらです 石福金属工業のお知らせ 不動産小口化商品の情報サイト「不動産小口化商品ナビ」はこちらです 特設サイト「社長・院長のためのDXナビ」はこちらです 一人でも多くの読者に学びの場を提供する情報サイト「話題の本.com」はこちらです THE GOLD ONLINEへの広告掲載について、詳細はこちらです

人気記事ランキング

  • デイリー
  • 週間
  • 月間

メルマガ会員登録者の
ご案内

メルマガ会員限定記事をお読みいただける他、新着記事の一覧をメールで配信。カメハメハ倶楽部主催の各種セミナー案内等、知的武装をし、行動するための情報を厳選してお届けします。

メルマガ登録
会員向けセミナーの一覧