相続する子供がいない「おひとりさま相続」が喫緊の課題に
2020年に行われた国勢調査による、15歳以上を対象とした配偶関係別人口をみると、未婚者数は男女あわせて3,279万人、なんと対象人口の29.5%がおひとりさまであることがわかります。もちろん15歳から20歳代までは結婚をしない人が大半です。
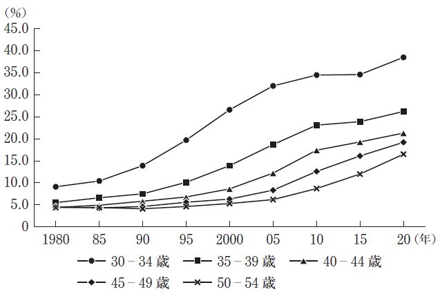
これを年齢別で30歳以上の未婚率を見てみましょう。[図表1][図表2]は男女の年齢別(5歳刻み)にみた未婚率の推移です。
40歳代でみると男性の3割、女性の2割が未婚です。しかしもっと注目されるのが30歳から34歳で、男性は約半数、女性でも4割近くが未婚であることです。約40年前に遡った1980年では同年齢層で男性の未婚率は21.5%、女性は9.1%。男性はもちろん女性が結婚しなくなっていることは数値上からも明らかです。
この40年間で一方的な右肩上がりになっている未婚率の上昇は、今後さらにおひとりさま相続が増えていくことを示しています。
さらに現代では結婚しても子供ができない、あるいは子供を持たない夫婦も多くなっています。こうした世帯でも今後、夫婦のうちの片方が亡くなると二次相続の段階でおひとりさま相続が発生することになります。
世の中に出ている相続関係の本はそのほとんどが子供、あるいは孫に相続することを前提にしていますが、これから喫緊の課題となるのが、相続する子供がいない「おひとりさま相続」なのです。



