遺産が多くても、少なくても、生まれる「相続争い」
人口全体に対して、65歳以上の高齢者が占める割合を「高齢化率」といいます。内閣府の発表によるこの「高齢化率」は、2017年(平成29年)10月時点で27.7%です。さらに、43年後の2065年(令和47年)には38.4%、すなわち約4割にも達すると推計されています。
高齢者の割合増加とともに年間単位で増えていくのが「相続」の件数です。近年では『資産が多い、少ないにかかわらず「相続争い」に発展する』というのが遺産分割を取り扱う弁護士や法律関係者の間では通説となっています。
遺産分割調停は2015年(平成27年)に12,577件、2020年(令和2年)に13,801件と、各年1万件以上取り扱われています。
司法統計によると、そのなかで約3割が相続金額1,000万円以下、約4割が1,000~5,000万円未満ですので、「相続争い」が一部の莫大な資産家一族の問題とは言い切れない現状があります。近年の、国内給与所得者の平均給与が分かる図表1をご覧ください。
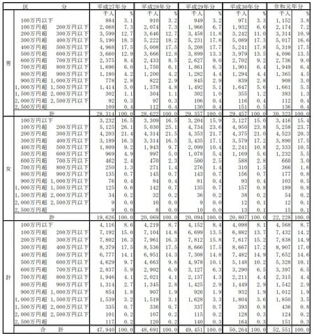
2015年(平成27年)は約420万円。2018年(令和元年)は436万円です。次に、給与階級別分布が分かる、図表2をご覧ください。
2015年(平成27年)は、同年の平均給与を上回る500万円以上の所得者の割合は、男女合計で28.5%。すなわち、給与が500万円未満の所得者の割合は、71.5%です。
2018年(令和元年)は、同じく同年の平均給与を上回る500万円以上の所得者の割合は、男女合計で30.6%。すなわち、給与が500万円未満の所得者の割合は、69.4%です。
各年、所得者の約7割が平均給与よりも所得が低いことが分かります。非正規雇用者や高齢者人口の増加などから深刻な所得格差が生じていることを見て取ることができるでしょう。
先述の遺産分割調停件数のうち、相続金額1,000万円以下が3割という数字と照らし合わせると、金額の大小にかかわらず、争いに発展するケースが後を絶たないこともうなずけます。

