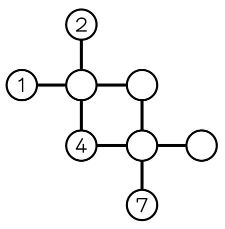
あいている○に「1以上の数字」を入いれましょう。一列にならんでいる数字は、一方のはしから同じ数ずつふえます(はんたいから見ると同じ数ずつへっていきます)。1つの列に同じ数字が入ってはいけません。
※クリックで答えを見る あいている○に「1以上の数字」を入いれましょう。一列にならんでいる数字は、一方のはしから同じ数ずつふえます(はんたいから見ると同じ数ずつへっていきます)。1つの列に同じ数字が入ってはいけません。

 

【関連記事】

■税務調査官「出身はどちらですか?」の真意…税務調査で“やり手の調査官”が聞いてくる「3つの質問」【税理士が解説】

 

■親が「総額3,000万円」を子・孫の口座にこっそり貯金…家族も知らないのに「税務署」には“バレる”ワケ【税理士が解説】

 

「銀行員の助言どおり、祖母から年100万円ずつ生前贈与を受けました」→税務調査官「これは贈与になりません」…否認されないための4つのポイント【税理士が解説】

 

エルカミノ式 理系脳をつくるひらめきパズル

エルカミノ式 理系脳をつくるひらめきパズル

村上 綾一
稲葉 直貴

幻冬舎

一生使える算数力が身につく楽しいドリル! 最強の理数系専門塾・エルカミノが独自に開発したパズル教材で、考えることがどんどん好きになる! 本書は、難関中学校への合格者を多数輩出する「理数系専門塾エルカミノ」が…

富裕層のためのセミナー情報、詳細はこちらです 富裕層のための会員組織「カメハメハ倶楽部」の詳細はこちらです 一人でも多くの読者に学びの場を提供する情報サイト「話題の本.com」はこちらです 特設ページ「社長・院長のためのDXナビ」はこちらです THE GOLD ONLINEへの広告掲載に関して、詳細はこちらです 医系予備校合格者NO.1、メディカルラボの特設ページ「最強受験戦略」はこちらです

人気記事ランキング

  • デイリー
  • 週間
  • 月間

メルマガ会員登録者の
ご案内

メルマガ会員限定記事をお読みいただける他、新着記事の一覧をメールで配信。カメハメハ倶楽部主催の各種セミナー案内等、知的武装をし、行動するための情報を厳選してお届けします。

メルマガ登録
会員向けセミナーの一覧