何歳でも「体は鍛えれば若返る」のか?
どんなに強靭な人でも、フルマラソンを全力で走り続けることはできません。どれくらいの速度で走っていけば約42㎞という長い距離を安全に走り切ることができるのか、自分のペースをつかむことが大切です。このペースを知るには、体に負荷をかけて心拍数がどれくらい上がるのかという「最大心拍数」を知っておくとよいでしょう。
筆者がダイエットに成功してマラソンを始めようとした53歳のとき、スポーツメーカーのラボで専門家にフォームから走り方に至るまでの指導を受けました。このときに試した体力測定の一つが、「エルゴメーター検査」です。
この検査は、自転車こぎのようなもので、胸に心電図の電極を着けるなどして1分間60回転をメトロノームに合わせ、ひたすらペダルをこぐというもの。これによって最大心拍数や血圧、最大酸素摂取量が分かるなど、医療現場でも心臓病の検査などで用いられています。
体にかなりの負荷をかけるため、2人がかりでモニターされています。脈拍が増え、心電図に不整脈が出てくると、危険なので直ちにストップがかかります。実際にやってみるとかなりきつく、心臓が飛び出るのではないかと思うほどバクバクしていました。こうして測定した結果、筆者の最大心拍数は175でした。
その後、マラソンを始めて体が鍛えられてきた57歳のとき、再び受けたエルゴメーター検査の結果は185だったのです。歳は4歳取っているにもかかわらず、最大心拍数は57歳のほうが勝っている、つまり若い体になっていたことになります。
トレーニングの目安は「60〜70%の負荷」
最大心拍数は、検査を受けなくても「220-年齢」と「208-0.7×年齢」で求めることができます。この公式に当時の筆者を当てはめてみると、「220-57=163」「208-0.7×57=168.1」。両者では差があるものの、実際には185なので日頃から鍛えていれば、実年齢よりも若いレベルになれるのです。
これにより筆者の心臓の限界は心拍数が185であることが分かりました。したがってトレーニングでは、最大心拍数の半分では軽過ぎるので、60~70%程度の負荷をかけて行えば、心臓にダメージを与えることなく安全ということになります。つまり、限界が分かると自分でセーブすることができ、無茶はしなくなるということです。
これがフルマラソンになると、85%ほどのペースで走り、ラストスパートをかけるときは90%くらいになっています。ただし、ゴールするときには100%になっている可能性はあります。
鍛えれば何歳でも若返る!? 最大心拍数に迫る実験
→ホント
●運動をするときは全力でなく、60~70%くらいの負荷で行いましょう。最大心拍数が上がって元気で若々しくなれます。
会社帰りの運動…疲労感から「熟睡」が得られるか?
マラソンに限らず本格的に運動をしている人は、体調管理として運動中の心拍数には注意を払うと思います。けれども運動後の心拍数は、あまり気にしていないのではないでしょうか。実は、運動後に心臓への負担がどれくらい残っているのかを知ることも大事なことなのですが、あまり知られていません。
これには、「最低脈拍数」をモニターするのが効果的です。最低脈拍数は安静時に現れるもので、ほとんどの場合で深い眠りに入ったときに観察されます。そのため、十分な睡眠が取れている証でもあり、起きたときには疲れが取れて回復しています。逆に、寝ている間に最低脈拍数が出ないときは眠りが浅く、疲れが取れていないことを示します。
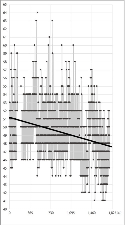
そこで、筆者は5年前からスマートウォッチを着けるようになり、脈拍を24時間モニターし続けています。
筆者の場合、日中は診療があるため、走るのはもっぱら夜になります。仕事が終わってケトン食を摂ったあと、21~22時くらいに自宅のランニングマシンで走っています。そうすると、早くても寝るのは0時になり、運動後2時間しか経っていないので交感神経が優位な状態となり、夜中に脈拍が下がり切らないことがあります。そのまま朝を迎えると、疲れが残って体調も優れないので、その晩はトレーニングを入れないようにしています。
勤めている人も日中は運動ができないので会社帰りにジムに寄ったり、帰宅後に走ったりして鍛えていると思います。これによって体が疲れ、寝つきが良くなってぐっすり眠れていると思われがちですが、実際は質の良い睡眠は取れていないと考えられるのです。
ただ、翌日の休憩時間に最低脈拍数になることがあり、そういうときは意外と体が回復していて体調も良く、夜には長く走っていられます。個人差があるので一概にはいえませんが、多少はズレていてもきちんと脈拍が下がり、最低脈拍数が現れることが大事なのです。
脈拍モニターで、運動後の心臓の回復具合が分かる
最近、脈拍モニターの標準曲線を見ていると、ヒューッと下がっていることに気づきました。最低脈拍数が51から、47へ下がっていたのです。通常では不整脈と診断される数値ですが、さまざまな検査結果から心臓の状態は正常です。
なぜ脈拍数が少ないのかを調べた結果、スポーツ選手によく見られる心臓の肥大が「スポーツ心臓」になっている可能性が高いのです。心臓にダメージを受けていない状態で鍛えると、そのようなことが起こるようです。逆に、脈拍数が上がった場合は、心臓の老化が進んでおり、心不全に近づいていることを意味します。どうやら筆者の心臓は、60歳を過ぎて若返ったみたいです。
ちなみに、5年間も脈拍をモニターしていると、自分のバイオリズムがつかめてくるので、トレーニングを入れたり休んだり、走る距離を長くしたり短くしたりと、心臓に負担をかけない練習メニューを立てられるようになってきます。
夜に運動すると疲れて熟睡できる!?
→ウソ
●夜に運動をしている人は、寝つきは良くても翌日に疲れが残って睡眠中に脈拍数が下がり切っていない可能性があります。休養をとって体調を確認してみましょう。
●最低脈拍数をモニターしてみましょう。運動後の心臓の回復具合が分かり、練習に反映できます。



