内部収益率とは
内部収益率とは「時間と複利計算を考慮した利回り」というべきものです。収益率は俗にいう「利回り」なので、内部収益率は利回りの一種となります。時間と複利計算を考慮することで「より正確な利回り」を出せるのが特徴です。内部収益率は略称で「IRR」と呼ばれ、IRRは「Internal Rate of Return」の略です(以下、内部収益率を「IRR」と呼びます)。
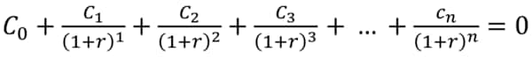
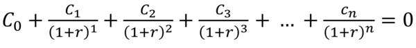
IRRの計算方法は簡単で、エクセルに「=IRR(範囲1:範囲2)」と入力するだけで算出できます。範囲に入れる数字は、その投資案件の毎年の収益です。初期投資コストから最後の売却益まですべてを入れます。エクセルを使わず自分で計算する場合、用いる計算式は以下の通りです。

Cというのは「損益」です。1年目の損益がプラスならC1は正の数、2年目の損益がマイナスならC2は負の数になります。C0は初期投資なので、常にゼロかマイナスです。nには「最後の年数」が入ります。10年で終わるなら「n=10」です。こうしてすべての数字が入力されたら、=の右側は0なので、方程式の要領でrの数字が出ます。このrの数値が内部収益率です。内部という言葉は「カッコの中のr」という意味だと考えるとわかりやすいでしょう。rの意味は「Rate=率」です。
IRRはなぜ投資判断に役立つのか
IRRが投資判断に役立つ理由は「時間と複利計算による利益も考慮している」ためです。たとえば「10万円投資して100万円の利益を得られる」という案件があったとします。この時、内部収益率ではない普通の収益率(利回り)は1000%です。10万円から100万円の利益が出たので「利回り=10倍=1000%」となります。
ここで重要なのは「110万円はいつ手に入るのか」です。1年目と10年目では、その価値は大きく変わります。1年目に手に入れば、それを複利で運用して増やすことが可能です。たとえば年率3%という安定的な運用でも、10年後に「134万円」になります。「今の100万円」は「10年後の134万円」に等しいのです。逆にいえば「今の100万円と10年後の100万円は同じ価値ではない」といえます。しかし、普通の利回りの計算では、100万円の利益が1年目に出ても10年目に出ても「利回り1000%」です。これは正確な計算とはいえないので、より正確に計算するためにIRRが用いられます。
IRRで計算すると、1年目に100万円の利益が手に入る場合「IRR=1000%」です。一方、10年目に手に入る場合「27%」です。ここまで減る理由は、初期投資の10万円が借金だったと想像するとわかりやすいでしょう。借金だったら10年間利息の支払いが生じます。このため、最後に100万円の利益が出てもトータルの利益が小さくなってしまうのです。
IRRはこのように、毎年の損益が異なる投資案件で「トータルの利回り」をより正確に計算できます。他にも「投資期間が異なる案件」「投資ジャンルが異なる案件」なども、トータルの利回りで比較しやすくなるのがメリットです。基本的に内部収益率が高いのはよいことであり、低いのは悪いことです。内部収益率は「利益率の一種」なので、高いほどよいのは当然といえます。ただ、投資や事業では利益率だけが重要なわけではありません。利益率100%でも、儲かる金額が100円だったら意味がないでしょう。投資や事業では「売上」も大事なのです。このため、IRRと合わせて「売上の指標」であるNPVも用いられます。
NPVとIRRを合わせて投資判断をする
NPVは「Net Present Value」の略で「正味現在価値」と呼ばれます。NPVのメリットは、実際にいくら儲かるのかという「金額」がわかることです。IRRのメリットは、どのくらい儲かりやすいかという「効率」がわかる点にあります。逆にNPVのデメリットは、金額はわかっても「その稼ぎ方が効率的かどうか」がわからないことです。IRRのデメリットは、効率はわかっても「実際にいくら稼げるのか」がわからないことにあります。
NPVとIRRはどちらも重要です。たとえばNPVが1億円と巨額だったとしましょう。しかし「1兆円かけて得られる利益が1億円」だったら、あまりにも非効率な投資です。同様にIRRが1000%(10倍)と利回りがよくても「実際に得られる金額が1万円」だったら、不動産投資としては意味がありません。
もともと、企業や投資家の実績を見る時に「売上と利益率が両方重要」ということは、多くの人が理解しているでしょう。NPVとIRRも基本は「売上と利益率」のことです。そこに時間と複利を合わせた「現在価値」の考え方を盛り込んでいるということです。投資判断では基本的にNPVとIRRを併用するべきですが、売上重視のときはNPV、利益率重視のときはIRRという具合に使い分けます。NPVとIRRに限らず、不動産投資ではあらゆる指標を状況に応じて使い分けることが必要です。