大人気の新築木造1棟アパート「カインドネスシリーズ」資料請求はコチラ>>>
NPVとは?将来価値を「現在の価値」に換算する理由
将来受け取ることができる価値を、現在受け取ったとした場合の現在価値に換算したものを正味現在価値といいます。価値を割り引いて計算することから割引現在価値とも呼びます。
お金には時間価値があり、同じ金額でも今持っているお金の方が将来の同額よりも価値が高いと考えられます。たとえば、今持っている100万円を利率5%で運用できると1年後には105万円になります。また、仮に年5%のインフレが進むと、今100万円で購入できるものも、1年後には理論上105万円になります。つまり、今の100万円と1年後の105万円は同じ価値であり、今の100万円の方が1年後の100万円より価値が高いということです。同様に「今の100万円」>「1年後の100万円」>「2年後の100万円」であり、不動産投資において、同じ金額の収益であっても早く回収できるほうがよりよい投資対象と言えます。
大人気の新築木造1棟アパート「カインドネスシリーズ」資料請求はコチラ>>>
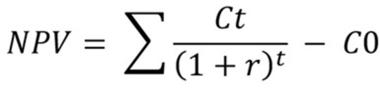
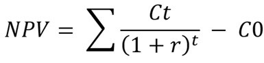
NPVの計算方法と実際の事例紹介
・NPVの計算式
Ct:t年目のキャッシュフロー
r:割引率
C0:初期投資額
∑:1年目~t年目までを合計
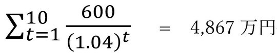
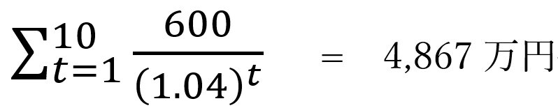
・具体的な計算事例
物件価格:8,000万円
年間賃料収入:900万円
年間経費(管理費、修繕費、税金、利息など):300万円
売却価格(10年後):6,000万円
割引率:4%
まず、10年間のキャッシュフローを現在価値に割り引きます。
次に、売却金額も現在価値に割り引きます。
最後にNPVを計算します。
NPV = 4,867万円 + 4,053万円 – 8,000万円 = 920万円
この場合、NPVはプラスの金額になっており、割引率4%と比較して、投資対象としては収益性が良いと判断することができます。
大人気の新築木造1棟アパート「カインドネスシリーズ」資料請求はコチラ>>>
NPVのメリットとデメリット
まずは3つのメリットをみていきましょう。
メリット① 投資判断の明確さ
NPVがプラスであれば投資する価値があり、マイナスの場合は避けるべきであると判断しやすく、指標としての分かりやすさがあります。
メリット② 計算の柔軟性
投資額や投資期間、目標とする利益率(割引率)等を変更することで、複数のシミュレーションを行うことができます。それぞれの状況に合わせて検証できるという点はメリットと言えます。
メリット② 計算の柔軟性
投資額や投資期間、目標とする利益率(割引率)等を変更することで、複数のシミュレーションを行うことができます。それぞれの状況に合わせて検証できるという点はメリットと言えます。
デメリット① 割引率の設定が重要だが難しい
NPVの計算上、各数値の設定にはある程度の自由度がありますが、特に割引率については、現実的な数値を使用しないと、指標が意味のないものになってしまいます。
デメリット② 中長期のプロジェクト評価には不向きな側面がある
NPVは、資金を早く回収できるものをより高く評価することになります。そのため、中長期的に利益を得ることができる案件を見落としてしまう可能性には注意が必要です。
大人気の新築木造1棟アパート「カインドネスシリーズ」資料請求はコチラ>>>
大人気の新築木造1棟アパート「カインドネスシリーズ」資料請求はコチラ>>>
NPVを用いた不動産投資の実践的な活用方法
不動産投資においてNPVが重要とされる理由の一つに、DCF法との計算方法の類似性が挙げられます。DCF法は、不動産価格の鑑定の際に用いられる手法の一つであり、不動産の鑑定価格は売買時の価格決定の重要な指標となります。不動産の投資期間中における賃料収入の多寡はもちろん大切ですが、出口戦略としての売却価格についても軽視することはできません。NPVを用いて検証しておくことで将来の売却価格の予測の一助とすることもできるでしょう。
NPVを用いるのは主に不動産の購入を検討するときでしょう。物件金額や毎年のキャッシュフローを予測したうえで、適切な割引率を設定し、その物件の収益性を検討することになります。このときの重要なポイントは、割引率を何%で計算するかという点だと思います。一般的には不動産鑑定士などの専門家が算出することが多いですが、投資家個人で自身の状況を踏まえて計算することも可能です。ただし、標準的な割引率からかけ離れた数値を使用すると意味のない指標になってしまいますので、現実的な範囲で計算してください。
また、複数の物件を比較する際には、必ず同じ割引率で計算するようにしてください。異なる割引率で計算されたNPVは、まったく意味の違う指標となってしまいます。
NPVは不動産投資の判断を行う上で重要な指標の一つですが、NPVだけで判断できるような完璧な指標ではありません。その他の指標も含めて総合的に判断することが大切です。




